First Image
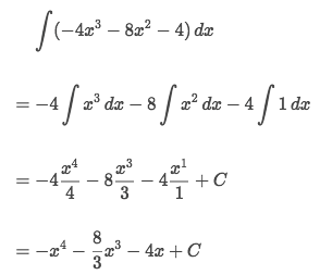
Now, let me tell you, I've been struggling with integration since forever! But this image kills it. It simplifies the whole process and makes solving integration problems a walk in the park. It's like a cheat code for calculus! Just follow the steps and get to the answer quickly.
Second Image

I used to dread definite integrals, but this image makes it a breeze. I particularly love how it explains the concept of definite integrals and gives you an easy-to-follow diagram to solve the problem. The best part is that you can use this method for any definite integral problem.
I know calculus can be daunting, but with images like these, solving integration problems becomes a piece of cake. Don't let calculus intimidate you; use these images as your secret weapon and ace that exam!If you are searching about Solve integration problems - copywriterquotes.x.fc2.com you've came to the right web. We have 6 Images about Solve integration problems - copywriterquotes.x.fc2.com like Integral Calculator With Steps / Triple Integral dz, dy, dx Solver, Definite Integrals - YouTube and also Solve integration problems - copywriterquotes.x.fc2.com. Here you go:
Solve Integration Problems - Copywriterquotes.x.fc2.com
solve definite integrals calculus
Definite Integral Calculus Examples, Integration - Basic Introduction

definite integral integration examples calculus basic introduction
Calculate Integrals. Find Indefinite Integrals | By Solomon Xie

integrals indefinite calculus integration completing calculator miro quadratic
Definite Integrals - YouTube

definite integrals
Definite Integral Calculus Examples, Integration - Basic Introduction

integral calculus integration definite examples basic problems practice introduction math tutorial choose board formula maths college
Integral Calculator With Steps / Triple Integral Dz, Dy, Dx Solver

calculus definite integrals solver moreover entered capable sinx
Solve integration problems. Solve definite integrals calculus. Integral calculator with steps / triple integral dz, dy, dx solver
No comments:
Post a Comment